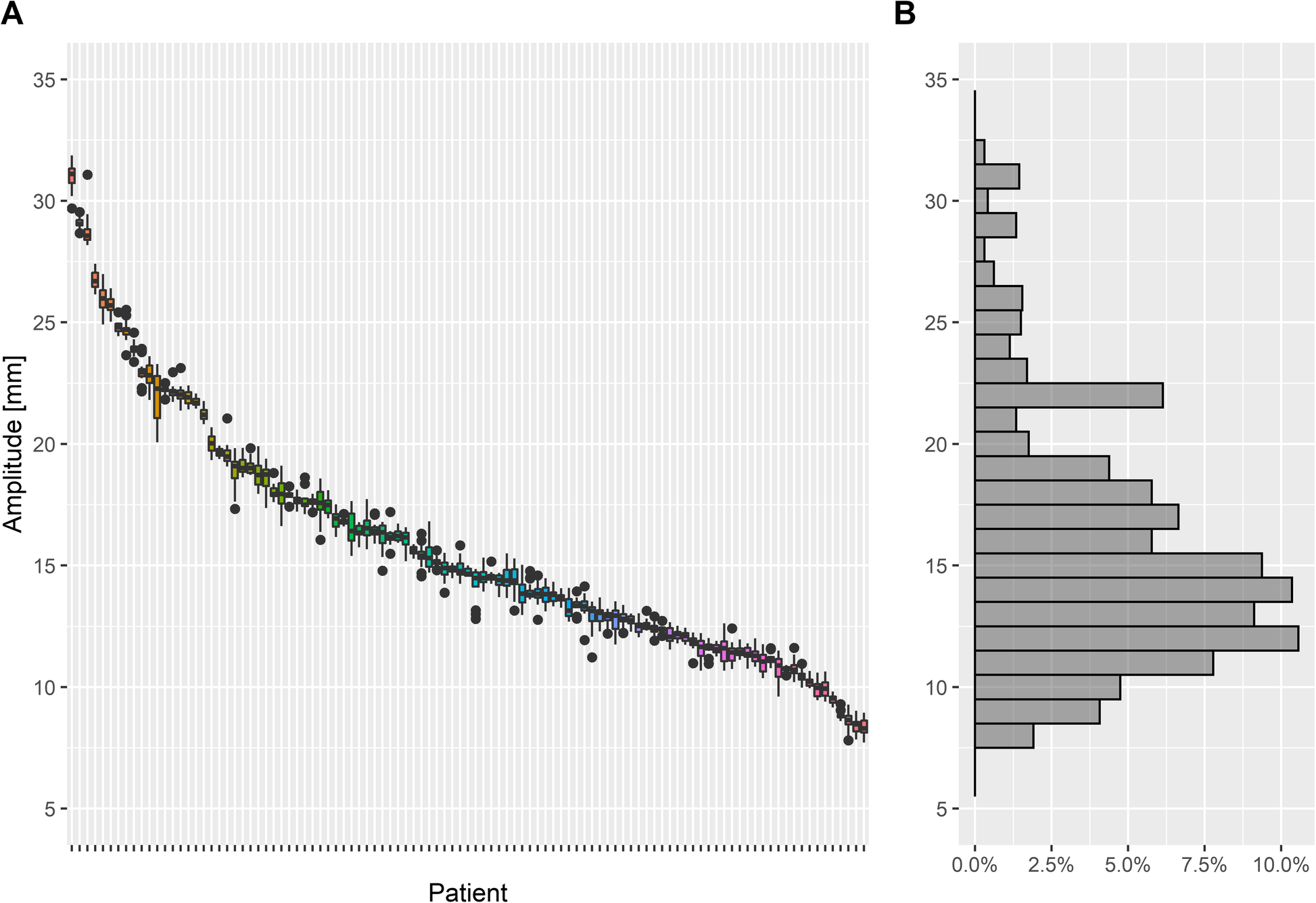
Fig. 4
From: Stability and reproducibility of 6013 deep inspiration breath-holds in left-sided breast cancer

a Box plots of breathing amplitudes during breath-hold for every patient including all breath-holds sorted by the median value, b histogram of the breathing amplitudes (n = 103 patients, 6013 breath-holds)