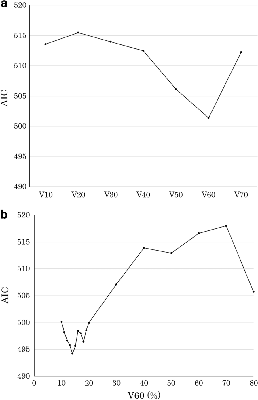
Fig. 2From: Risk factors for osteoradionecrosis of the jaw in patients with head and neck squamous cell carcinomaAkaike information criterion (AIC) value of the volume of the jaw receiving between 10 and 70 Gy (a), and relationship between AIC and V60 of the jaw (b). Vxx, relative volumes of the jaw exposed to xx GyBack to article page